
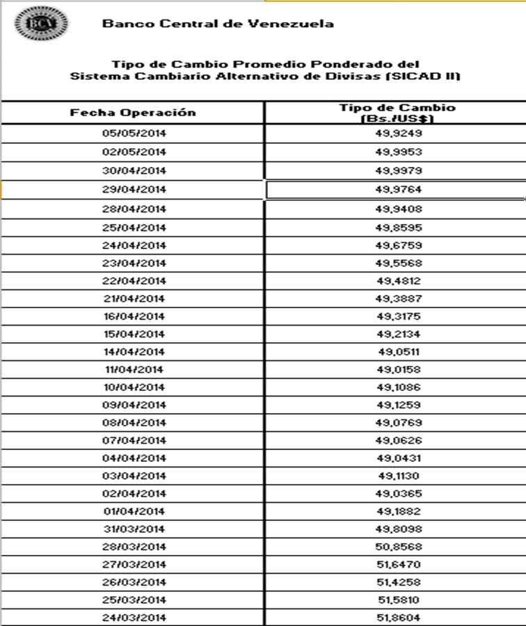
La Tasa del Sistema Cambiario Alternativo de Divisas (Sicad 2) cerró este lunes en Bs 49,92 por dólar, informó el Banco Central de Venezuela en su página web.
La tasa no tuvo variación en comparación con el cierre del pasado viernes que cerró en 49,99 bolívares por billete verde.
Por tres jornadas consecutivas la tasa se ha mantenido en el mismo tipo de cambio.
ÚN/www.diariorepública.com





